Boite 2ca03 est elle de ralloche ?
Règles du forum
Pour plus de simplicité, les règles d'utilisation du forum ont été revues et regroupées dans un seul et unique post.
Merci d'en prendre connaissance sans tarder en cliquant ici
Pour plus de simplicité, les règles d'utilisation du forum ont été revues et regroupées dans un seul et unique post.
Merci d'en prendre connaissance sans tarder en cliquant ici
- 205_TU1_63
- Amateur

- Messages : 21
- Enregistré le : 30 déc. 2020, 12:42
- Has thanked : 7 times
- Been thanked : 1 time
Boite 2ca03 est elle de ralloche ?
Bonjour je vais acheter une boîte 2ca03 la personne me dit que c'est de 205 GT donc idem 205 rallye avec ma5s et 14x60 vous pouvez me confirmer ? Cdlt
- Piedplanche
- Membre du Club 2025

- Messages : 7171
- Enregistré le : 10 déc. 2002, 16:28
- Localisation : France
- Has thanked : 80 times
- Been thanked : 283 times
- Contact :
-
MPB-26
- Régulier

- Messages : 57
- Enregistré le : 03 avr. 2020, 15:40
- Has thanked : 86 times
- Been thanked : 48 times
Re: Boite 2ca03 est elle de ralloche ?
Bonsoir,
Afin de ne pas refaire un post je fais ma demande ici
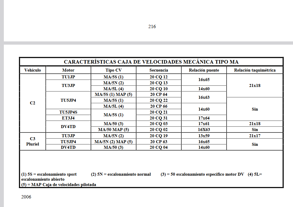
Sur "La Rodeuse" qui est une Citroën C2 1.1 la boite dessus est une 20CQ12. J'ai beau chercher je trouve pas les rapport de boite ni le pont dessus... Quekqu'un aurais les caractéristique?
Merci à vous
Afin de ne pas refaire un post je fais ma demande ici
Sur "La Rodeuse" qui est une Citroën C2 1.1 la boite dessus est une 20CQ12. J'ai beau chercher je trouve pas les rapport de boite ni le pont dessus... Quekqu'un aurais les caractéristique?
Merci à vous
-
MPB-26
- Régulier

- Messages : 57
- Enregistré le : 03 avr. 2020, 15:40
- Has thanked : 86 times
- Been thanked : 48 times
Re: Boite 2ca03 est elle de ralloche ?
Plus la peine j’ai trouvé tout seul comme un grand
J'aurais au moins les rapports de MA5S et avec un peu de chance, dans le bloc que je viens de remonter un 14x60, c'est toujours mieux que rien 